
咨詢熱線0755-26993877
電動窗簾因其便捷性和智能化而備受青睞。電動窗簾電機作為其核心組件,直接影響到窗簾的使用體驗和壽命。以下是一些在市場上較為知名的品牌(排名不分先后),以及它們的一些基本信息:

一般電動卷簾門的電機功率在100W到1000W之間,具體大小取決于門的尺寸、重量、使用頻率和運行速度等因素。

卷簾門電機功率的選擇以及電動卷簾門電機的千瓦數,主要取決于門體的大小、重量以及相關的配置需求。以下是對卷簾門電機功率選擇的詳細分析:

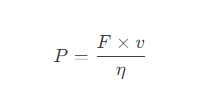
電動卷簾門因其便利性和安全性得到了廣泛的應用,電動卷簾門的性能與其電機的功率密切相關,因此了解電動卷簾門電機的功率規格及其計算方法顯得尤為重要。電動卷簾門電機的功率規格和計算方法如下:

電動卷簾門的電機功率一般根據卷簾門的尺寸、重量和使用頻率等因素來選擇,常見的功率范圍通常在150W到750W之間。對于較大的卷簾門,可能需要更高功率的電機。

選擇合適的電動車庫門電機,不僅要考慮價格,更要關注其功能和品牌的信譽。選擇一個高質量的電動車庫門電機,不僅能提高使用的便利性,還能增強家居的安全性。

電動車庫門電機的調整與維護是確保其正常運轉的重要環節。定期進行檢查和維護不僅能延長電機的使用壽命,也能提高使用的安全性。在使用過程中,電動車庫門電機可能會出現不轉或運轉不正常的情況。

電動車庫門電機轉門不動的原因多種多樣,但通過及時的檢查和維護,大部分問題都能迎刃而解。有時會遇到電動車庫門電機轉門不動的情況,這不僅影響了日常使用,也可能造成不必要的麻煩。

電動車庫門電機是電動車庫門正常工作的關鍵組件,選擇合適的電機不僅能夠提升車庫門的使用效率,還能保障家庭的安全。它不僅提高了出入的便利性,還增強了家庭的安全性。而電動車庫門的核心部件之一就是電機。

傳感器在現代技術中占有重要地位,深圳的測力傳感器和稱重傳感器因其高精度、高可靠性和廣泛的應用場景而受到青睞。選擇合適的傳感器可以有效提高測量的準確性和系統的自動化水平。
