電容位移傳感器是利用電容原理來測量物體位移,它就像是一個微小的“電子秤”,不過它秤量的不是重量,而是物體與傳感器之間距離的微小變化。這種變化通過電容值的變動被精確捕捉并轉化為可讀取的信號,從而實現了對位移的精確測量。
電容位移傳感器工作原理
電容結構:
- 電容器由兩個導體(電極)和介質組成。在電容位移傳感器中,電極通常是平行放置的,介質可以是空氣或其他材料。
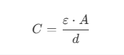
電容計算:
- 電容的計算公式為:

其中: - $C$ 是電容值。 - $ε$ 是介質的介電常數。 - $A$ 是電極的有效面積。 - $d$ 是電極之間的距離。
3.位移測量:
- 當測量物體的位移時,電極的相對位置會發生變化。位移的改變會導致電容的兩個關鍵參數發生變化:
- 有效面積A:如果電極的形狀和位置發生變化,接觸面積將變化。
- 電極間距d:物體的移動會影響電極間的距離。
- 隨著位移的變化,電容值也會變化。這種變化可以通過相關電路(如電壓分壓電路或振蕩電路)進行檢測。
輸出信號(通常是電壓或頻率變化)可以與位移成線性或非線性關系,通過適當的轉換和處理,可以得到位移的具體量值。
隨著科技的不斷進步,電容位移傳感器正朝著更高精度、更小體積、更強抗干擾能力的方向發展。同時,隨著物聯網、大數據、人工智能等技術的融合應用,電容位移傳感器將在更多領域展現其獨特價值,為人類社會帶來更加智能、高效的解決方案。

